Air at sea travel sa Surigao del Norte, suspendido ng 2 linggo
Upang maprotektahan ang mga residente laban sa pagpasok ng Delta variant ng Covid-19, pansamantalang sinuspinde ng dalawang linggo ang biyahe ng eroplano at barko papasok ng Surigao del Norte.
Batay sa Executive Order (EO) No. 21-029 na ipinalabas ni Provincial Governor Francisco Matugas, epektibo ang suspensyon mula Aug. 11 hanggang 22.




Pero hindi kasama sa suspensyon ang domestic air at sea travel ng mga kargamento.
Hindi rin kabilang sa suspensyon ang Authorized Persons Outside Residence (APORs) pero obligado silang sumunod sa travel protocol ng airports at seaports.
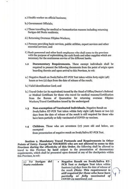
Kabilang sa mga APOR ang mga health worker na nasa official business, government officials, returning overseas Filipino workers, at mga bank personnel na may iniatas na agarang trabaho.
Exempted din sa travel ban ang mga indibidwal na may health o medical reason kabilang ang mga returning resident, at mga nasa basic services, public utilities, at iba pang essential services.
Kailangan lamang magprisinta ang mga APOR ng negative RT-PCR test na valid ng 48 hours, valid IDs at kahit fully vaccinated na ay requirement pa rin ang negative swab test result.